|
公司基本資料信息
|
|||||||||||||||
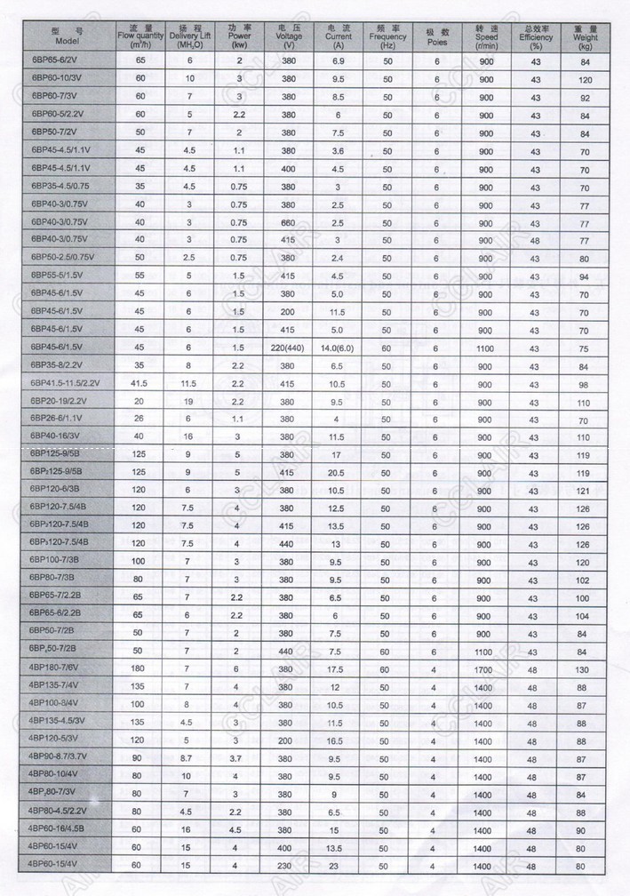
6PB變壓器油泵
適于電力變壓器、電爐變壓器、電力機車變壓器及其它專用變壓器的強迫油循環(huán)冷卻系統中。該系列油泵采用軸向氣隙感應盤式電動機,葉輪與電機為一體,構成轉子部件.電機轉子與定子的氣隙為軸向裝配,運行過程中無掃膛現象。

6BP65-6/2V,6BP60-10/3V,6BP60-7/3V,6BP60-5/2.2V,6BP45-4.5/1.1V,6BP35-4.5/0.75,6BP40-3/0.75V,6BP50-2.5/0.75V,6BP55-5/1.5V,6BP45-6/1.5V,6BP35-8/2.2V,6BP41.5-11.5/2.2V,6BP20-19/2.2V,6BP26-6/1.1V,6BP40-16/3V,6BP125-9/5B,6BP2125-9/5B,6BP120-6/3B,6BP120-7.5/4B,6BP2120-7.5/4B,6BP3120-7.5/4B,6BP100-7/3B,6BP80-7/3B,6BP65-7/2.2B,6BP65-6/2.2B,6BP50-7/2B,6BP450-7/2B,4BP180-7/6V,4BP135-7/4V,4BP100-8/4V,4BP135-4.5/3V,4BP120-5/3V,4BP90-8.7/3.7V,4BP80-10/4V,4BP280-7/3V,4BP80-4.5/2.2V,4BP60-16/4.5B,4BP60-15/4V,6BP50-7/2V,